【学部通知】学部2018年硕士研究生招生复试名单公示
2018-03-29
来源:
责任编辑:
作者:liuzhaotun(转)查看:次
太阳成集团tyc539材料与能源学部2018年硕士研究生招生复试名单公示
经审核,现将拟参加我单位2018年硕士研究生复试考生(不含推免生)的基本信息、公示期限、受理意见单位公示如下:
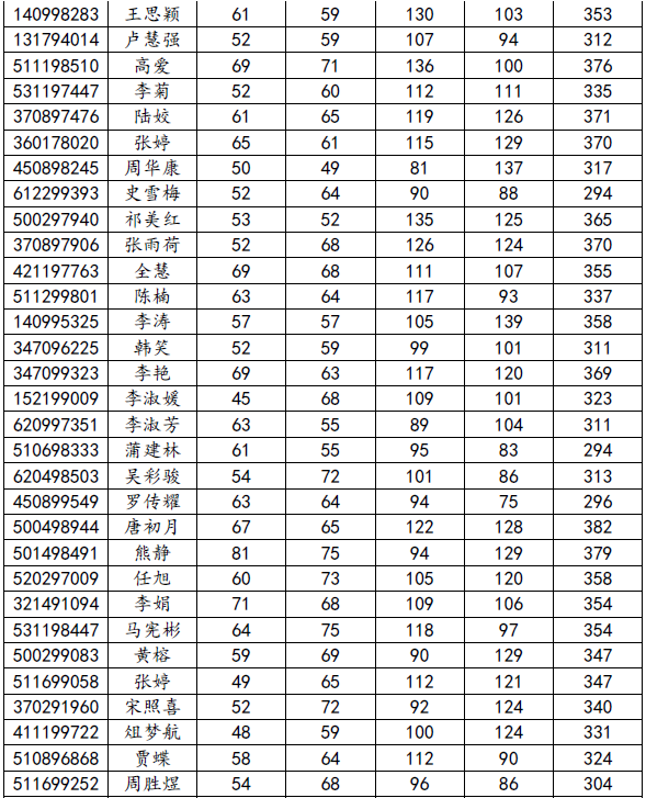
一、复试名单
(1)工学组


(2)理学组




二、公示期限及受理意见单位
1.公示期限:2018年3月29日—4月8日
2.受理意见单位:材料与能源学部纪委
受理电话:023-68367036
太阳成集团tyc539材料与能源学部
2018年3月29日